안녕하세요! 이지수능교육 잉코 서포터즈 7기 몬티입니다.
저의 첫 칼럼으로 고등학교 수학 공부법을 소개해 드리고자 합니다.
제가 중고등학교 때 많이 들었던 질문 중 하나가 어떻게 하면 수학을 잘 할 수 있을지에 관한 질문이었는데요. 그만큼 수학은 정말 많은 학생들을 힘들게 하는 과목입니다.
이번 기회를 통해 여러분의 수학 공부에 도움이 되고자, 저의 경험을 토대로 저를 과학고 내에서도 수학 최상위권으로 만들어 준 수학 공부 비법을 알려드리도록 하겠습니다.
│관찰하기
수학을 풀 때 많은 학생들이 간과하고 있는 것! 그렇지만 수학을 잘하는 친구들은 항상 하는 것! 바로 문제를 관찰하는 것인데요.
'문제에 답이 있다'라는 말도 있듯이 문제를 풀기 전 문제를 유심히 보는 습관을 가져야 합니다.
'문제를 잘 관찰해라'라는 말은 단지 '문제를 꼼꼼히 읽어라'라는 뜻만 담고 있는 것은 아닙니다. 식의 형태, 식의 특징, 숫자들의 특징, 식들 사이의 관계, 식과 숫자 사이의 관계 등을 파악하여 앞으로 문제를 어떻게 풀지에 대한 아웃라인을 세우기 위한 자료를 찾는 것을 뜻합니다.
입시에서 출제되는 수학 문제 중에는 관찰을 통해 빠르고 쉽게 풀 수 있는 문제들이 정말로 많습니다. 수학을 잘하는 친구들을 보면 문제를 정말 신박하게 풀거나 빠르게 푼다는 것을 느끼신 적도 있을 텐데요. 이러한 능력을 갖추기 위해서는 식을 잘 관찰하는 것이 중요합니다.
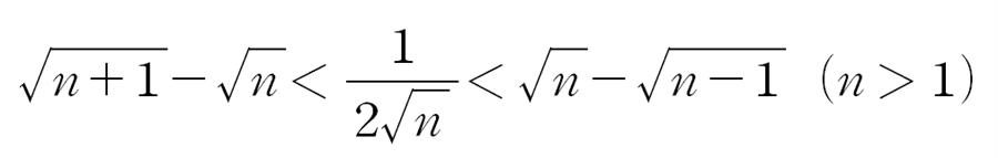
예를 들어 다음 부등식을 증명하라는 문제가 있다고 해봅시다.


그 대신 문제 풀이의 아웃라인을 설정하는 것, 문제를 풀면서 내가 앞으로 어떤 과정을 거치겠구나를 생각하면서 풀 수 있게끔 하는 것입니다.
주어진 자료, 내가 아는 개념, 지금까지의 경험을 토대로 풀이 가능한 방법들을 쭉 생각해보고 그중에서 가장 괜찮겠다 싶은 풀이를 선정합니다.
이를 위해서는 몇 개의 키워드 정도만 생각해도 충분하겠죠. 물론, 연습하는 단계에서는 생각되는 풀이 방법들을 모두 시도해보는 것이 좋은 방법입니다.
│문제 풀이의 양 vs 질 (feat. 유형)
자주 논쟁거리로 오르내리는 주제인데요. 문제를 많이 푸는 것이 중요한가? vs 문제를 적게 풀더라도 하나하나를 오래, 깊이 생각해봐야 하는가?
두 가지 모두 중요하지만, 문제를 오랫동안 많이 풀기에는 우리에게 주어진 시간이 충분하지 않습니다. 학생 각자에게 맞는 방법은 다르겠지만, 저는 어떻게 공부했었는지 소개해 드리겠습니다.
개념을 처음 배우고 그 단원의 내용을 어느 정도 체화하기 전까지는 문제를 많이 풀어보는 것이 중요합니다. 왜냐하면 어느 정도 개념이 익숙해지고 연산이 빨라져야 다음 단계로 나아갈 수 있기 때문입니다.
하지만 어느 정도 문제 풀이가 익숙해지고 심화 문제를 푸는 단계에 온다면 문제 풀이의 질을 정말로 중요시해야 합니다. 어려운 문제를 풀수록 새로운 형태의 문제를 맞닥뜨렸을 때 본인의 지식을 잘 결합하고 응용해서 문제를 해결하는 능력이 중요해집니다.
이때, 문제를 질 높게 푸는 것이 자신의 사고력과 응용력을 키우는 방법입니다. 문제를 ‘그저’ 많이만 푸는 것은 사고력 증진에 도움이 되지 않습니다. 오히려 시간 낭비가 되는 경우가 많죠.
많은 학생들의 잘못된 공부 방법 중 하나는 모든 유형의 풀이 방법을 외우는 것입니다. 특히 문제를 양치기로 풀 때 생기는 문제인데요. 심화 문제들을 풀면서 우리가 길러야 하는 힘은 새로운 유형을 보더라도 잘 풀어나갈 수 있는 능력입니다.
이때, 문제 하나하나를 깊이 있게 고민하면서 풀이 속에 숨겨져 있는 의미와 근본을 파악한다면, 새로운 문제도 어렵지 않게 기존의 지식으로 일관되게 풀 수 있을 것입니다. 즉, 시험장에서 새로운 유형의 문제를 만난다고 해도 당황하지 않고 잘 풀 수 있는 것이지요.
│답지의 활용 방법
학생들이 정말 많이 궁금해하는 것 중 하나가 바로 수학 공부를 할 때 답지의 활용 방법인데요. 많은 선생님들께서는 학생들에게 답지를 보지 말라고 가르칩니다. 아마 학생들이 충분한 고민을 하기 전 답지를 보고 베끼는 상황을 걱정해서 하시는 말씀일 겁니다.
하지만 이는 꼭 옳은 말이 아닌데요. 답지는 올바른 풀이를 제시해주는 자료이기에 ‘잘’ 사용한다면 공부에 큰 도움이 되는 자료로 사용할 수 있습니다.
이번 기회에 “답지를 어떻게 사용해야 하는가!”에 대해서 완벽하게 정리해드리겠습니다. 일단, 문제를 처음 풀 때 답지는 보지 말고 문제를 혼자 힘으로 푸세요. 충분한 고민을 하면서 문제를 풀어야 합니다.
만약에 충분히 생각을 했는데 못 풀었다면, 그래도 아직 답지를 볼 때는 아닙니다. 다음 문제들을 쭉 푸세요. 다른 문제들을 어느 정도 풀고 나면 다시 못 풀었던 그 문제를 풀어보세요.
그래도 여전히 모르겠다. 그러면 이제 답지를 볼 차례인데요. 여기서 중요한 것은 답지 전체를 보는 것이 아닙니다. 답지를 보면 자신이 푼 부분과 풀지 못한 부분이 있을 텐데, 답지에서 풀지 못한 부분의 첫 줄만 슬쩍 봐서 힌트를 얻는 겁니다.
그러고 다시 풀어보는 겁니다. 그래도 모르겠으면 이제 답지의 전문을 보세요. 이때 답지를 보면서 ‘그렇구나’하고 넘어가면 안 됩니다. 답지를 보면서 ‘내가 어느 부분을 생각을 못 했지?’를 꼭 확인하고 넘어가야 합니다.
만약에 문제를 풀었다! (바로 풀었든, 다시 풀었을 때 풀었든) 그럼 답지를 보세요. 이것이 답지 사용 방법의 핵심인데요. 만약에 내가 푼 방식과 답지가 푼 방식이 같다면 내 풀이와 답지의 풀이를 꼼꼼히 비교해보세요.
이를 통해 내가 푼 풀이에서 발생한 사소한 논리적 오류나, 확인하지 않고 넘어간 부분들을 발견할 수도 있습니다. 이런 부분을 잘 메모하고 기억해놓으면 점점 더 완성도 있는 풀이를 만들어나갈 수 있을 겁니다.


더불어, 혼자서 공부하는 게 어렵다면 전문가의 도움을 받아보는 것도 좋습니다. 저 또한 이지수능교육 과외를 통해 새로운 문제 풀이 방법을 배우는 등 많은 도움을 받았습니다.
(아래 이미지를 클릭하시면 이지수능교육 과외에 대해 자세히 살펴보실 수 있어요!)